Teil 1
Aufgabe 1
Ordne folgende Zahlen der Größe nach:Aufgabe 2
Claude wirft mit einem besonderen Spielwürfel.
Hier siehst du das Netz des Würfels.
Hier siehst du das Netz des Würfels.
a)
Begründe, dass die Wahrscheinlichkeit für die Augenzahl „
“ bei einem Wurf mit dem Würfel
beträgt.
b)
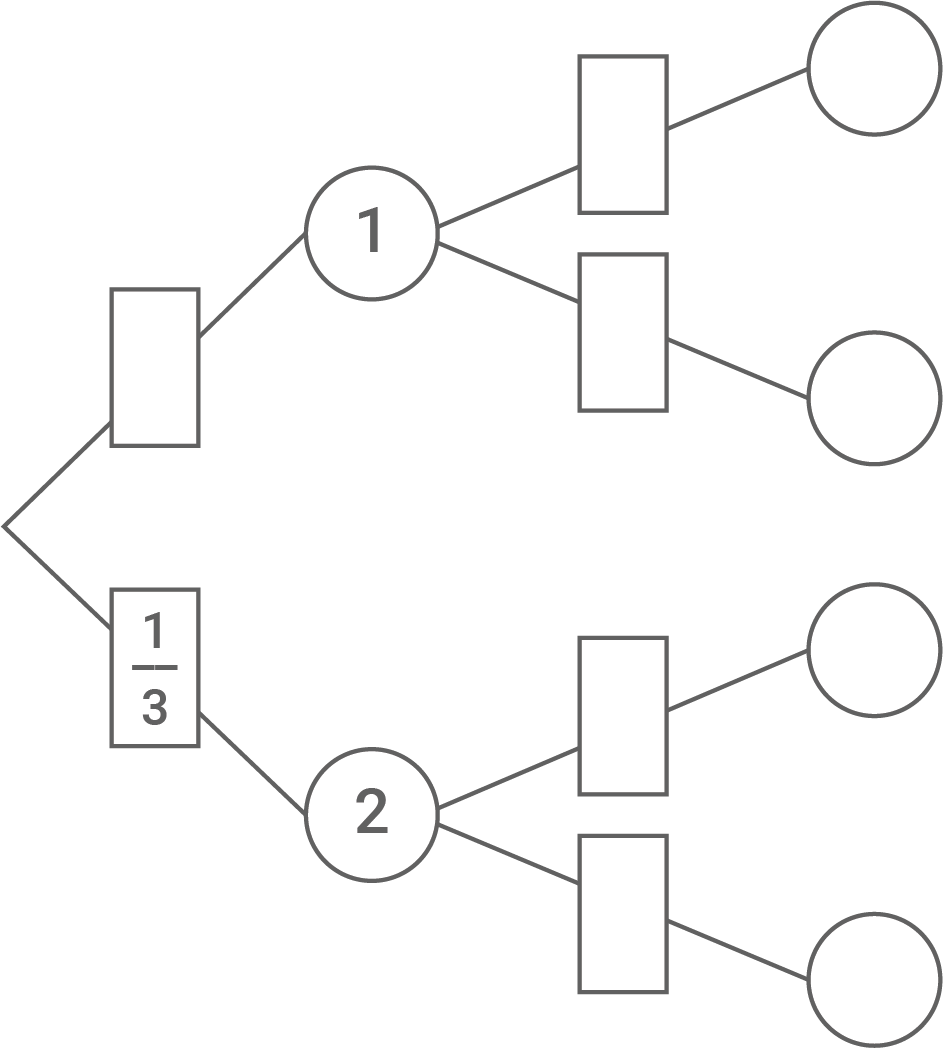
Der Würfel wird zweimal geworfen.
Ergänze in dem Baumdiagramm die fehlenden Wahrscheinlichkeiten und Ereignisse.
Ergänze in dem Baumdiagramm die fehlenden Wahrscheinlichkeiten und Ereignisse.
c)
Berechne die Wahrscheinlichkeit, zweimal eine „
“ zu würfeln.
Aufgabe 3
Eine zylinderförmige Getränkedose enthältWie hoch ist die Getränkedose mindestens?
Aufgabe 4
Löse folgendes Gleichungssystem mit einem geeigneten Verfahren:|
(I)
|
|
|
(II)
|
Aufgabe 5
Bei einem Dreieck
ist die Seite
lang (vgl. Abbildung rechts). Der Winkel
bei dem Punkt
ist
groß.
a) Bestimme rechnerisch die Länge der Seite
.
b) Bestimme rechnerisch die Länge der Seite
.
Skizze eines Dreiecks, nicht maßstabsgetreu
Aufgabe 6
Mit einer dynamischen Geometriesoftware werden zwei Geraden durch die Punkte
Aufgabe 1
Aufgabe 2
a)
Gegeben ist ein 6-seitiger Würfel:



Seiten haben die Augenzahl „
“
Seiten haben die Augenzahl „
“
b)
c)
Mit der Pfadmultiplikationsregel gilt:
Aufgabe 3
Gegeben ist ein Zylinder mit:- Volumen
- Durchmesser
- Radius
Aufgabe 4
Aufgabe 5
a)
Es gilt:
Damit folgt:
b)
Mit dem Satz des Pythagoras folgt: