Aufgabe A – Neuanfänge
Neu in der Klasse
M1 Fallbeispiel
Paula (13) ist genau wie ihre 24 Mitschülerinnen und Mitschüler aufgrund der Wahlpflichtfächerwahl neu in der Klasse 7d. Die ersten Tage des Schuljahres sind für sie und die anderen sehr aufregend. Die Klassenleiterin Frau Mayer unterstützt die Orientierungsphase durch Kennenlernübungen, erarbeitet Gesprächsregeln, erklärt die Hausordnung und verteilt Ordnungsdienste.
Bei der Klasse 7d handelt es sich um eine formelle Gruppe.
Nenne zwei Merkmale der formellen Gruppe und belege diese am Fallbeispiel M1.
Benenne zwei Entwicklungsaufgaben nach Havighurst und begründe jeweils, wie Paula (vgl. M1) diese im schulischen Kontext bewältigen kann. Orientiere dich an folgendem Beispiel:
Paula wird selbständig, indem sie ihre Arbeitsprozesse in einer Projektarbeit eigenverantwortlich strukturiert und durchführt.
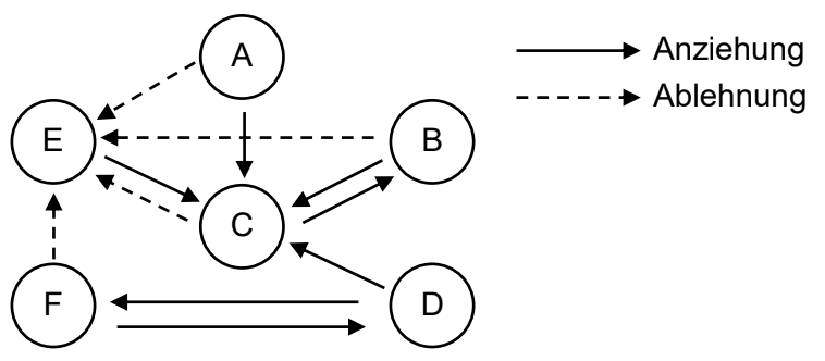
M2 Fortsetzung des Fallbeispiels mit Soziogramm der Klasse 7d
Bereits nach zwei Wochen stellt die Klassenleiterin Frau Mayer unerwünschte Entwicklungen unter den Schülerinnen und Schülern der 7d fest. Daraufhin erstellt sie folgendes Soziogramm, um die informellen Strukturen in einem Teil der Klasse aufzudecken:

Ordne drei verschiedene informelle Rollen einzelnen Schülerinnen und Schülern (A bis F) zu. Begründe deine Wahl jeweils mit den Beziehungen, die du dem Soziogramm M2 entnehmen kannst.
Neuorientierung im eigenen Körper
M3 Fallbeispiel
Der junge talentierte Fußballspieler Max (17) erleidet bei einem Spiel eine schwere Wirbelsäulenverletzung, die zu einer Querschnittslähmung führt. Trotz Operation und Rehabilitation bleibt er auf einen Rollstuhl angewiesen. Sein Leben ändert sich daher drastisch: Er muss seine Ausbildung abbrechen und kämpft seitdem mit vielen Herausforderungen.
Max (M3) ist beeinträchtigt.
Belege dies mit drei Merkmalen des Grundlegenden Begriffs Beeinträchtigung.
Erläutere kurz je eine physische, psychische und soziale Herausforderung, die auf Max (M3) in seiner neuen Lebenssituation zukommt. Beschreibe anschließend jeweils eine Möglichkeit der Bewältigung.
M4 Schaubild

Werte das Schaubild M4 aus, indem du zwei grundlegende Aussagen formulierst.
Ordne zusätzlich Max (M3) inhaltlich in diese Grafik ein.
„Niemand darf wegen seiner Behinderung benachteiligt werden.“ (Artikel 3, Absatz 3 Grundgesetz der Bundesrepublik Deutschland)
Nenne vier konkrete Maßnahmen, wie der Staat dieses Grundrecht umsetzt.
Neuerungen in der Arbeitswelt
Definiere den Grundlegenden BegriffTertiäre Sozialisation.
M5 Karikatur

Beschreibe die Karikatur M5 und erläutere deren Aussage. Beziehe in deine Ausführungen die Ursache der hier thematisierten Arbeitslosigkeit mit ein.
M6 Fallbeispiel
Thomas R. (45) ist Sozialpädagoge bei der Caritas. Er berät junge Erwachsene mit psychischen Problemen, damit sie ihren Alltag wieder bewältigen können. Diese tracken ihre Emotionen täglich mit der KI-basierten „Mood-Verhaltensapp“ und erhalten dabei sofort eine Rückmeldung. Die vorliegenden App-Daten unterstützen Thomas R. bei den langfristigen individuellen Handlungsempfehlungen für die betreuten jungen Erwachsenen. Dieses persönliche, zielorientierte Gespräch mit den jungen Menschen kann die KI nicht ersetzen.
Der Sozialpädagoge meint deshalb: „Künstliche Intelligenz wird den Menschen in der Arbeitswelt unterstützen, kann ihn aber nicht ersetzen.“

Belege die unterstrichene Aussage von Thomas R. (M6) am Beispiel von zwei weiteren sozialen Berufen.
Neues im Alter
Definiere den Grundlegenden Begriff Quartäre Sozialisation.
M7 Fallbeispiel
Manfred K. (64) ist Maler und Lackierer in einem kleinen Betrieb. Er steht gerade vor einer schweren Entscheidung: Manfred könnte demnächst in den Ruhestand gehen, aber sein Arbeitgeber hat ihn gefragt, ob er noch ein weiteres Jahr berufstätig sein möchte.
Beschreibe aus Sicht von Manfred K. und seinem Arbeitgeber (M7) kurz je einen Vor- und Nachteil eines weiteren Jahres der Berufstätigkeit. Nimm abschließend Stellung, indem du eine begründete Empfehlung für Manfred K. aussprichst.
Erläutere am Beispiel einer Sozialversicherung einen Vorteil für den Sozialstaat, wenn Arbeitnehmer wie Manfred K. (M7) den Eintritt in den Ruhestand verzögern.
Weiter lernen mit SchulLV-PLUS!
monatlich kündbarSchulLV-PLUS-Vorteile im ÜberblickDu hast bereits einen Account?In formellen Gruppen wie der Schulklasse sind die Strukturen festgelegt:
-
Normen wie Gesprächsregeln und Hausordnung
-
Formelle Rollen wie Ordnungsdienste, Schülerinnen/Schüler und Klassenleiterin
Entwicklungsaufgaben nach Havighurst im schulischen Kontext:
-
Aufbau eines festen Freundeskreises → Bezugspersonen im Umfeld „Klasse“ suchen bzw. finden und mit diesen eine enge, dauerhafte Bindung aufbauen
-
Sich positionieren und Werte und Normen hinterfragen → bei Konflikten zwischen Mitschülerinnen und Mitschülern Stellung beziehen und die Absichten und Motive der Parteien berücksichtigen
-
Mehr Verantwortung übernehmen → das Amt der Klassensprecherin ausüben
Rollenzuordnungen:
-
C → Anführer, alle Schülerinnen und Schüler finden ihn sympathisch
-
A, B, D → Mitläufer, sie ordnen sich dem Anführer C unter und finden ihn sympathisch
-
E → Außenseiter/Gemobbter, keine Mitschülerinnen und Mitschüler fühlen sich ihm verbunden
-
F, D → Freunde, beide ziehen sich gegenseitig an und finden sich sympathisch
-
Einschränkung der gesellschaftlichen Teilhabe von Menschen … → Trotz Rollstuhls verwehren ihm Barrieren den Zugang zu manchen Bereichen (z. B. Treppen zu Bahngleisen).
-
… deren körperliche, seelische oder geistige Gesundheit … → Max ist querschnittsgelähmt und kann nicht laufen.
-
… länger als sechs Monate … → Trotz Operation und Rehabilitation wird seine körperliche Gesundheit nicht wiederhergestellt.
-
… vom alterstypischen Zustand abweicht. → Gleichaltrige sind nicht auf den Rollstuhl angewiesen und können in der Regel laufen.
Mögliche physische Herausforderungen und deren Bewältigung:
-
Schmerzen/Verspannungen im Oberkörper → regelmäßige Physiotherapie
-
Stärkung intakter Muskelgruppen → selbständiges Trainieren
Mögliche psychische Herausforderungen und deren Bewältigung:
-
Bewältigung der neuen Situation → Selbsthilfegruppen
-
Umgang mit negativen Gefühlen → psychotherapeutische Unterstützung
Mögliche soziale Herausforderungen und deren Bewältigung:
-
Berührungsängste der Freunde → offene Kommunikation
-
Soziale Isolation → gezielter Kontakt zu ebenfalls Betroffenen
Mögliche grundlegende Aussagen:
-
Den höchsten Anteil schwerbehinderter Menschen machen im Jahr 2023 in Deutschland Betroffene ab einem Alter von 65 Jahren aus, dies entspricht 59 %.
-
Die meisten Menschen mit einer Schwerbehinderung haben eine körperliche Beeinträchtigung (58 %), diese Kategorie wiederum umfasst einzelne betroffene Körperbereiche.
-
Fast jede zweite Person mit einer körperlichen Behinderung hat eine Beeinträchtigung der inneren Organe. Ihr Gesamtanteil an allen Betroffenen beträgt 26 % und damit mehr als ein Viertel.
→ Max gehört zu den 58 % der körperlich beeinträchtigten Menschen und insbesondere zu den 10 %, die eine Beeinträchtigung an Wirbelsäule und Rumpf haben.
→ Er gehört zu den 4 % der Betroffenen, die unter 25 Jahre alt sind.
Mögliche Maßnahmen:
-
Inklusion in Kindertagesstätten und Schulen
-
Barrierefreiheit im öffentlichen Raum
-
Gesetzlicher Rahmen für Rehabilitationsmaßnahmen
-
Steuervergünstigungen
-
Berufliche Gleichstellung von Menschen mit Beeinträchtigung
-
Behindertenparkplätze
Die dritte Sozialisationsphase im frühen und mittleren Erwachsenenalter mit eigenverantwortlichem Handeln in Bezug auf Beruf, Partnerschaft, Familiengründung und Freizeitaktivitäten.
Mögliche Beschreibung:
Ein Mann trägt einen Karton mit persönlichen Gegenständen und einen Baseballschläger unter dem Arm. Mit wütendem Gesichtsausdruck verlässt er sein Büro. Hinter ihm auf dem Boden sitzt ein Roboter mit der Aufschrift „KI“, der offensichtlich zusammengeschlagen wurde. Er sagt: „Tut mir leid wegen Ihres Jobs. Ich kann aber nichts dafür – ich bin nur ein Werkzeug!“
Mögliche Aussage:
Der Karikaturist möchte damit ausdrücken, dass der digitale Fortschritt und die Einführung von Künstlicher Intelligenz in der Arbeitswelt nicht nur Vorteile und Erleichterungen mit sich bringen, sondern auch Schattenseiten haben. Manche Arbeitnehmende werden dadurch überflüssig. Die strukturelle Umstellung auf eine KI-basierte Arbeitsweise kann die Ursache für die Rationalisierung von Arbeitsplätzen und die Entlassung von Personal sein.
Mögliche soziale Berufe:
-
Altenpflegerin/Altenpfleger: Künstliche Intelligenz kann Routineaufgaben wie Medikamentenverwaltung oder Überwachung von Vitaldaten übernehmen. KI kann nicht Seniorinnen und Senioren waschen oder bei der Essenseinnahme unterstützen.
-
Erzieherin/Erzieher: Künstliche Intelligenz kann bei der Planung und Organisation (Entwurf pädagogischer Konzepte) eines Kindergartens helfen. KI kann nicht den Kindern Empathie, Verständnis und zwischenmenschliche Kommunikation entgegenbringen, das kann nur ein echter Mensch, der für die Sozialisation der Kinder essentiell ist.
-
Physiotherapeutin/Psychotherapeut: Künstliche Intelligenz kann bei der Ausarbeitung von Behandlungsplänen unterstützen. KI kann nicht direkt mit den Händen einen Patienten therapieren.
Die vierte Sozialisationsphase im späten Erwachsenenalter: Ruhestand ohne sozialversicherungspflichtige Berufstätigkeit.
Mögliche Vorteile aus Sicht von Manfred K.:
-
Sinnvolle Aufgabe
-
Mehr finanzielle Mittel als bei Rentenbezügen
Mögliche Vorteile aus Sicht des Arbeitgebers:
-
Zugriff auf die jahrelange Erfahrung und auf das Know-how
-
Ausgleich des Fachkräftemangels
Mögliche Nachteile aus Sicht von Manfred K.:
-
Körperliche Belastung im hohen Alter
-
Wenig Zeit mit der Familie und dem sozialen Umfeld
Mögliche Nachteile aus Sicht des Arbeitgebers:
-
Gefahr des Ausfalls durch Krankheiten im Alter
-
Eingeschränkte Einsatzmöglichkeit aufgrund des Alters und der körperlich anstrengenden Tätigkeit
→ Stellungnahme: individuelle Lösung mit nachvollziehbarer Begründung.
Mögliche Vorteile für den Sozialstaat:
-
Pflegeversicherung: Ein Vorteil besteht darin, dass die potentiellen Rentner weiterhin die vollen Beiträge zur Pflegeversicherung leisten. Davon profitiert die Gemeinschaft im Sinne des Solidaritätsprinzips.
-
Rentenversicherung: Außerdem verzögert sich die Auszahlung der Sozialversicherungsleistungen wie der Rente. Somit hat der Sozialstaat weniger Rentner, die er monatlich aus den Rentenkassen versorgen muss.
Weitere Sozialversicherungen sind mit entsprechender Erläuterung möglich.