Aufgabe 2 – Fischernetze
Ein Großteil der weltweiten Fischfänge im Meer erfolgt mithilfe von Schleppnetzen (M1). An das Material werden dabei bestimmte Anforderungen gestellt. Die sich daraus ergebenden Materialeigenschaften bringen jedoch nicht nur Vorteile mit sich.
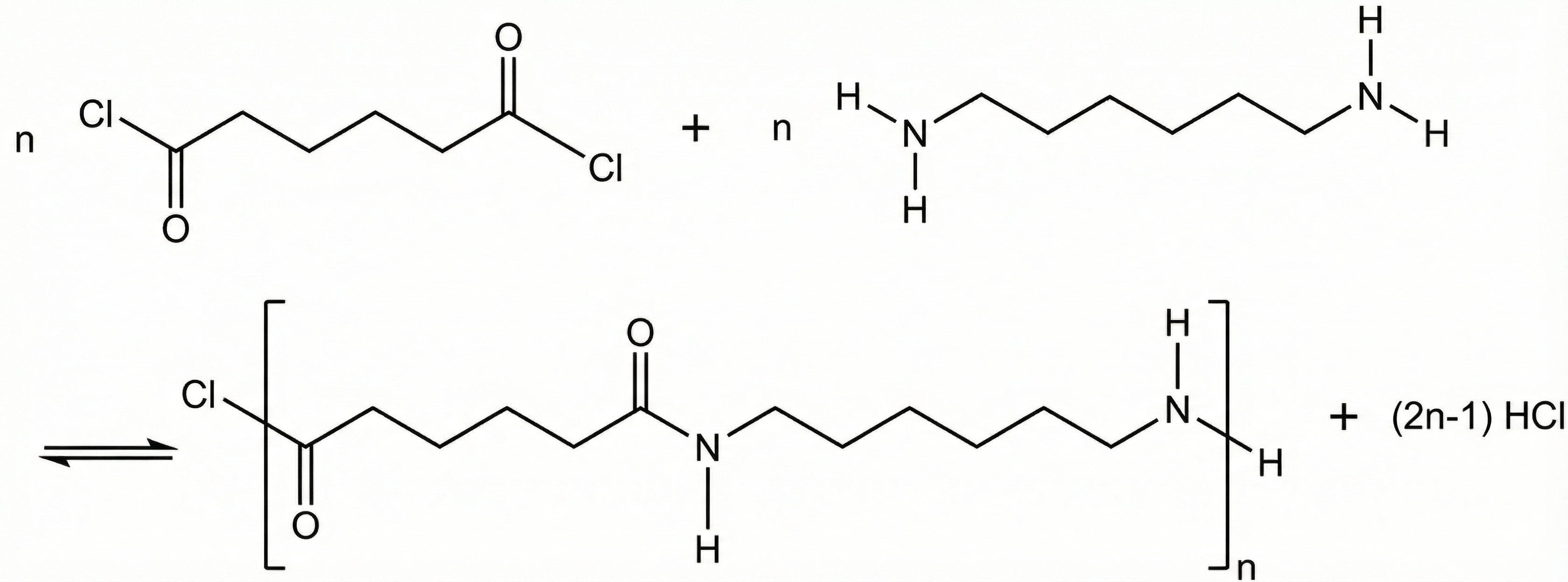
Beschreibe den zur Synthese von Nylon dargestellten Reaktionsmechanismus (M2).
Nenne den Namen für die Polyreaktion der Synthese von Nylon (M2).
Formuliere eine Reaktionsgleichung für die alternative Herstellung von Nylon mit Hexan-1,6-disäuredichlorid unter Verwendung von Strukturformeln (M3).
Stelle eine Hypothese auf, die für eine Durchführung dieser alternativen Herstellung im alkalischen Milieu spricht.
Beschreibe die Einteilung von Kunststoffen nach thermisch-mechanischen Eigenschaften. Gib dabei auch strukturelle Merkmale der Kunststoff-Moleküle an.
Begründe
die Zuordnung von Nylon zu einer dieser Kunststoffklassen.
mit Hilfe von Struktur-Eigenschafts-Beziehungen die Eignung von Nylon als Material für Schleppnetze (M1, M2).
Beurteile anhand von vier Aspekten das Recycling von Fischernetzen aus ökologischer Sicht (M4).
Beurteile die Eignung von Polycaprolacton als Rohstoff für sich selbst auflösende Fischernetze unter Formulierung einer Reaktionsgleichung in Strukturformeln (M4, M5).
Weiter lernen mit SchulLV-PLUS!
monatlich kündbarSchulLV-PLUS-Vorteile im ÜberblickDu hast bereits einen Account?M1: Schleppnetze
Nylonfasern sind wasserunlöslich und sehr reißfest. Deshalb werden sie für die Herstellung von Schleppnetzen verwendet. Diese, bis zu 500 Tonnen Fisch fassenden Netze, werden langsam von Schiffen durch das Meer gezogen.

verändert nach: Das 1x1 der Fischernetze (2020, 16. Juni). https://bracenet.net/blog/fischernetze/; letzter Zugriff: 26.07.23
M2: Reaktionsmechanismus der Synthese von Nylon
Nylon ist ein Polyamid und wird aus Hexan-1,6-disäure und Hexan-1,6-diamin nach folgendem Reaktionsmechanismus hergestellt:

Strukturformel eines Nylon-Moleküls
M3: Alternative Herstellung von Nylon
Als ein Edukt der Nylonsynthese kann auch Hexan-1,6-disäuredichlorid verwendet werden.
Strukturformel eines Hexan-1,6-disäuredichlorid-Moleküls
M4: Geisternetze
Jedes Jahr gelangen 5–13 Millionen Tonnen Kunststoffabfälle in die Meere. Bis zu deren völliger Zersetzung können mehrere hundert Jahre vergehen. Je nach Informationsquelle stammen 30–50 Prozent des Kunststoffmülls in den Meeren von Fischernetzen. Netze verhaken an Felsen und Wracks im Meer und reißen ab. In europäischen Gewässern gehen pro Jahr mutmaßlich 25000 Netze mit einer Gesamtlänge von 1250 Kilometern verloren. Meeresbewohner verfangen sich in diesen so genannten Geisternetzen oder nehmen das entstehende Mikroplastik auf.
Entlang der chilenischen Küste können die Fischer ihre alten und kaputten Netze, die nicht mehr repariert werden können, bei „Net Positiva“ abgeben, einer Initiative zum Sammeln und Recyceln von Fischernetzen. Die Netze können dort wiederverwertet und in einem aufwändigen Prozess u. a. zur Herstellung von Skateboards oder Kleidung verwendet werden. Netze, die im Meer und am Meeresboden verloren gegangen sind, können aufgrund der starken Verunreinigung durch Sand und Müll praktisch nicht recycelt werden.
verändert nach: Nolden, H. (2014, 8. Juli). Skateboards aus alten Fischernetzen. Globalblog. https://globalmagazin.eu/blog/skateboards-aus-alten-fischernetzen/; Geisternetze – tödliche Gefahr (2018, 17. August). https://www.wwf.de/themen-projekte/plastik/geisternetze; letzter Zugriff: 26.07.23
M5: Alternative Materialien
Ein anderer Ansatz zur Lösung der Geisternetzproblematik ist der Einsatz von natürlichen Stoffen und Biokunststoffen, die sich unter marinen Bedingungen langsam und vollständig zersetzen.
Verschiedene Projekte untersuchten die Verwendung natürlicher Materialien wie z. B. Naturkautschuk und Holz. Zudem werden Streifen aus biologisch abbaubaren Kunststoffen wie beispielsweise des Polyesters PCL (Polycaprolacton) getestet.
Strukturformelausschnitt eines Polycaprolacton-Moleküls
verändert nach: Einzelfragen zu Fischernetzen aus Kunststoff (2019). Wissenschaftliche Dienste Deutscher Bundestag. https://www.bundestag.de/resource/blob/651440/8691240faf14560c609f871dc461c33d/WD-8-038-19-pdf-data.pdf: letzter Zugriff: 08.04.2024; Labet, M. & Thielemans, W. (2009) Synthesis of polycaprolactone: a review. Chemical Society Reviews, 38. Jahrgang, Nr. 12, 2009, S. 3484 - 3504
Weiter lernen mit SchulLV-PLUS!
monatlich kündbarSchulLV-PLUS-Vorteile im ÜberblickDu hast bereits einen Account?-
nucleophiler Angriff des freien Elektronenpaares des Stickstoff-Atoms der Amino-Gruppe an das positiv polarisierte Kohlenstoff-Atom der Carboxy-Gruppe
-
Ausbildung einer Elektronenpaarbindung; Entstehung einer positiven Ladung am Stickstoff-Atom und einer negativen Ladung am Sauerstoff-Atom durch Elektronenpaarumlagerung
-
intramolekulare Protonenumlagerung vom Stickstoff-Atom zur Hydroxy-Gruppe
-
Abspaltung eines Wasser-Moleküls und Ausbildung einer Carbonyl-Gruppe
Es handelt sich um eine Polykondensation.
Formulieren einer Reaktionsgleichung in Strukturformeln

Aufstellen einer Hypothese für die Durchführung im alkalischen Milieu
Bei der Nylon-Synthese aus Hexan-1,6-disäuredichlorid entsteht Chlorwasserstoff. Um die Produktausbeute zu erhöhen, kann man nach Le Chatelier ein Reaktionsprodukt, hier Chlorwasserstoff, aus dem Gleichgewicht entfernen, so dass die Produkte nachgebildet werden. Der Zusatz einer alkalischen Lösung sorgt für eine Neutralisation der entstehenden Salzsäure.
Thermoplast
-
lineare oder wenig verzweigte Makromoleküle
-
wird weich und formbar beim vorsichtigen Erhitzen und behält seine Form beim Abkühlen
Duroplast
-
engmaschig, dreidimensional vernetzte Makromoleküle
-
hart, spröde, schmilzt nicht, sondern verkohlt und zersetzt sich bei Überhitzung
Elastomer
-
weitmaschig vernetzte Makromoleküle
-
gummielastisch, schmilzt nicht, sondern verkohlt und zersetzt sich bei Überhitzung
Begründung der Zuordnung von Nylon
-
Nylon lässt sich den Thermoplasten zuordnen
-
lineare Makromoleküle ohne Quervernetzung
-
lediglich Wechselwirkungen zwischen den Molekülen, keine Bindungen
-
Die Wechselwirkungen werden durch Wärmezufuhr überwunden, wodurch Nylon sich plastisch verformen lässt
Begründung der Eignung als Schleppnetz
-
Die Polymer-Moleküle sind überwiegend unpolar, folglich ist Nylon nicht wasserlöslich
-
Wasserstoffbrücken zwischen positiv polarisierten Wasserstoff-Atomen des einen Moleküls mit freien Elektronenpaaren der Sauerstoff-Atome eines benachbarten Moleküls führen zur parallelen Anordnung. Zusätzlich werden intermolekulare Wechselwirkungen zwischen unpolaren Kohlenwasserstoffketten ausgebildet, folglich weist Nylon eine hohe Reißfestigkeit auf.
Mögliche Aspekte:
-
erheblicher Plastikeintrag ins Meer durch Fischernetze; Material über hunderte von Jahren stabil; sehr langsame Zersetzung zu Mikroplastik
-
Eintrag von Mikroplastik in die Nahrungskette, gesundheitliche Gefahren u. a. durch den Verzehr von Fisch
-
hohes Gefährdungspotenzial von Geisternetzen für Meeresorganismen
-
Recycling durch Einschmelzen grundsätzlich möglich, falls sortenreines Material; Verarbeitung zu Kleidung oder Skateboards möglich
-
Geisternetze mit Sand verunreinigt; rohstoffliches Recycling unmöglich
Mögliches Fazit:
-
Wegen des erheblichen Eintrags von Netzen ins Meer und den Gefahren durch Geisternetze ist eine Lösung des Problems dringend geboten
-
Weiterverarbeitung zu Skateboards mit erheblichem Aufwand verbunden, deshalb eher von symbolischem Wert
-
Vermeidung des Verlusts von Netzen; Reparatur beschädigter Netze; Verbrennung von nicht recyclingfähigen Netzen
Beurteilung der Eignung von Polycaprolacton
-
Es handelt sich um einen Polyester, dessen Moleküle durch Wasser hydrolytisch gespalten werden können.
-
Diese Reaktion läuft langsam ab, sodass eine Nutzung als Fischernetz möglich ist. Das Netz zersetzt sich bei Verlust und treibt nicht jahrhundertelang im Meer.
Aufstellen einer Reaktionsgleichung in Strukturformeln
