Aufgabe 4 – Mit Benzoesäure konservierte Nordseekrabben
Benzoesäure ist ein häufig verwendeter Konservierungsstoff mit der europäischen Zulassungsnummer E 210. Sie wird verwendet für die Haltbarmachung verschiedener Lebensmittel, wie z. B. Feinkostsalaten, Mayonnaisen und Nordseekrabben.
Erläutere anhand der Reaktionsgleichung für die Reaktion von Benzoesäure mit Wasser das Säure-Base-Konzept nach BRØNSTED (M1).
Erkläre die Herstellung von Benzoesäure im Labor durch die Betrachtung der Säurestärken (M1).
Beschreibe das Prinzip der Säure-Base-Titration unter Verwendung eines pH-Indikators (M2).
Berechne die Gesamtmasse der Benzoesäure in der in M2 genannten Portion Nordseekrabben.
Beurteile, ob die Nordseekrabben aus der Probe für den Verzehr geeignet sind (M2).
Formuliere die Reaktionsgleichung in Strukturformeln zur hydrolytischen Spaltung von 4-Hydroxybenzoesäuremethylester (M3).
Stelle eine Hypothese zur unterschiedlichen Wasserlöslichkeit von 4-Hydroxybenzoesäuremethylester und 4-Hydroxybenzoesäure auf (M3).
Diskutiere anhand von vier Argumenten, ob Benzoesäure und Parabene zur Verwendung als Konservierungsstoffe in Lebensmitteln geeignet sind (M2, M3).
Weiter lernen mit SchulLV-PLUS!
monatlich kündbarSchulLV-PLUS-Vorteile im ÜberblickDu hast bereits einen Account?M1: Benzoesäure
Im Labor kann Benzoesäure durch Zugabe von Salzsäure zu Natriumbenzoat hergestellt werden. Benzoate sind Salze der Benzoesäure.
Der -Wert von Benzoesäure beträgt
Strukturformel eines Benzoesäure-Moleküls
verändert nach: https://www.chemie.de/lexikon/Benzoes%C3%A4ure.html; Zugriff am: 27.09.2023
M2: Benzoesäure in Nordseekrabben
Nordseekrabben werden häufig mit Benzoesäure konserviert. Sie wird Lebensmitteln nicht nur als Konservierungsstoff zugesetzt, sondern kommt auch natürlich in einigen Lebensmitteln (vor allem im Beerenobst) vor. Benzoesäure kann bei empfindlichen Menschen allergische Reaktionen auslösen. Das Bundesinstitut für Risikobewertung (BfR) wies zudem kürzlich auf eine mögliche Bildung von geringen Mengen giftigen Benzens aus Benzoesäure in Verbindung mit Ascorbinsäure (Vitamin C) in Erfrischungsgetränken und Fruchtsäften hin.
Die Zulassung von Zusatzstoffen in Lebensmitteln ist innerhalb der EU einheitlich geregelt. Es wird u. a. festgelegt, welche Lebensmittelzusatzstoffe in welchen Lebensmitteln und in welcher Menge zugelassen sind. Für gekochte Krebs- und Weichtiere wie Nordseekrabben beträgt die zulässige Höchstmenge Milligramm Benzoesäure pro Kilogramm Lebensmittel.
Um zu überprüfen, wie hoch der Gehalt an Benzoesäure eines Lebensmittels ist, wird durch Titration die Stoffmengenkonzentration bestimmt. Bei festen Lebensmitteln muss vorher eine Extraktion der Benzoesäure durchgeführt werden. Vereinfacht wird dabei davon ausgegangen, dass Benzoesäure vollständig aus dem Lebensmittel extrahiert wird und keine weiteren Säuren in dem Extrakt vorhanden sind.
Die Europäische Behörde für Lebensmittelsicherheit (englisch: European Food Safety Authority, EFSA) ist eine Agentur der Europäischen Union, die wissenschaftliche Beratung zu Risiken von Lebensmitteln leistet und über diese informiert. Sie schätzt eine tägliche Aufnahme von bis zu fünf Milligramm Benzoesäure pro Kilogramm Körpergewicht als gesundheitlich unbedenklich ein.
Experiment:
Aus einer Portion von Nordseekrabben wurden
eines Gesamtextraktes gewonnen.
davon wurden mit einer Natronlauge der Stoffmengenkonzentration
titriert. Es wurden
Maßlösung bis zum Erreichen des Äquivalenzpunktes verbraucht.
Die molare Masse der Benzoesäure beträgt:
verändert nach: https://www.icba-net.org/files/resources/benzene-german.pdf; https://eur-lex.europa.eu/legal-content/DE/TXT/?uri=CELEX%3A32015R0538&qid=1711096342921; https://www.bvl.bund.de/DE/Arbeitsbereiche/01_Lebensmittel/04_AntragstellerUnternehmen/04_Zusatzstoffe/lm_zusatzstoffe_Zulassung_node.html; letzter Zugriff: 10.11.2024
M3: Parabene
„Parabene“ ist eine Sammelbezeichnung für 4-Hydroxybenzoesäure und deren Salze und Ester. Sie kommen natürlicherweise in vielen genutzten Pflanzen vor, wie z. B. Karotten und Heidelbeeren.
Parabene verfügen, wie die chemisch verwandte Benzoesäure, über eine antimikrobielle Wirkung. Daher werden die Ester in Kosmetika und bestimmten Lebensmitteln als Konservierungsstoffe eingesetzt. Der Methyl- und der Ethylester der 4-Hydroxybenzoesäure sind die einzigen in Lebensmitteln als Konservierungsstoffe zugelassenen Zusatzstoffe aus dieser Stoffklasse.
Bei sehr hohen Dosierungen der Parabene werden Symptome akuter Toxizität beobachtet. Sie sind für alle Parabene ähnlich und zeigen sich in unkontrollierten Bewegungen, Lähmungserscheinungen und verminderten neurologischen Funktionen. Diese Symptome gehen schnell zurück. Man nimmt an, dass sie durch die freie 4-Hydroxybenzoesäure hervorgerufen werden, die durch eine rasche enzymatische Spaltung der Ester im Körper entsteht.
Im Labor kann man 4-Hydroxybenzoesäureester auch ohne Enzyme hydrolytisch spalten.
Strukturformel eines 4-Hydroxybenzoesäuremethylester-Moleküls
verändert nach: https://www.umweltbundesamt.de/sites/default/files/medien/378/dokumente/art_10.1007_s00103-014-2055-8.pdf; letzter Zugriff: 10.11.2024
Weiter lernen mit SchulLV-PLUS!
monatlich kündbarSchulLV-PLUS-Vorteile im ÜberblickDu hast bereits einen Account?-
Das Benzoesäure-Molekül ist eine Brønsted-Säure, weil es ein Proton abgibt (Protonendonator).
-
Das Wasser-Molekül ist eine Brønsted-Base, weil es ein Proton aufnimmt (Protonenakzeptor).
-
Insgesamt handelt es sich um eine Protonen-Übertragungsreaktion.
Reaktionsgleichung
Erklärung der Herstellung von Benzoesäure
-
-
Benzoesäure-Moleküle sind die schwächeren Säuren.
-
Durch die Zugabe von Salzsäure wird die Oxonium-Ionen-Konzentration der Lösung erhöht.
-
Dadurch werden die Benzoat-Ionen protoniert und Benzoesäure-Moleküle entstehen.
Bei der Säure-Base-Titration wird die Stoffmengenkonzentration der Benzoesäure-Lösung durch Zugabe von Natronlauge bekannter Stoffmengenkonzentration bestimmt.
Das Volumen an Natronlauge zur Neutralisation der Benzoesäure-Lösung wird unter Verwendung eines geeigneten pH-Indikators bestimmt.
Berechnung der Gesamtmasse an Benzoesäure
Für gilt:
im Krabbenextrakt
Beurteilung der Eignung zum Verzehr
-
In einer Portion von
dürfen laut zugelassener Höchstmenge
pro
Krabben
maximal
enthalten sein.
ist somit ein zu hoher Wert.
-
Eine solche Portion darf daher nicht in den Verkauf gelangen und sollte nicht verzehrt werden.
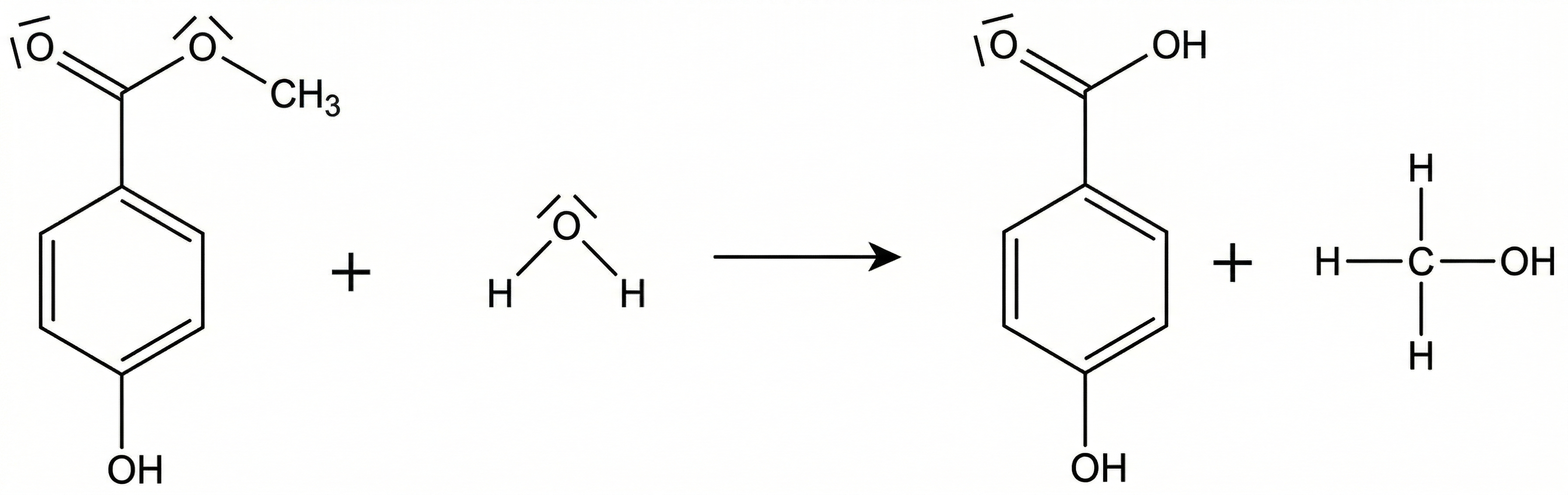
Reaktionsgleichung in Strukturformeln

Aufstellen einer Hypothese zur unterschiedlichen Wasserlöslichkeit
-
Das 4-Hydroxybenzoesäure-Molekül kann aufgrund der Hydroxy-Gruppe und der Carboxy-Gruppe Wasserstoffbrücken zu Wasser-Molekülen ausbilden.
-
Das Ester-Molekül besitzt statt der Carboxy-Gruppe eine Ester-Gruppe. Dadurch können weniger Wasserstoffbrücken ausgebildet werden.
-
4-Hydroxybenzoesäuremethylester ist daher schlechter wasserlöslich als Hydroxybenzoesäure.
Mögliche Pro-Argumente
-
Die Lebensmittel halten länger.
-
Konservierungsstoffe sind sinnvoll, denn die beim Verderben der Lebensmittel entstehenden Stoffe könnten ebenfalls schädlich sein.
-
Lebensmittelkontrollen machen eine schädliche Wirkung unwahrscheinlich.
Mögliche Contra-Argumente
-
Benzoesäure kann bei empfindlichen Menschen zu allergischen Reaktionen führen. Bei sehr hohen Dosierungen der Parabene kann es zu Symptomen akuter Toxizität kommen.
-
Bei der Spaltung von 4-Hydroxybenzoesäuremethylester im Körper entsteht giftige Hydroxybenzoesäure.