Aufgabe 1 – Die Chemie der Parfüme
Ursprünglich extrahierte man zur Herstellung der Parfüme Duftstoffe aus Pflanzen oder aus Drüsensekreten von Tieren. Im Jahre 1921 wurde „Chanel N° 5“ vorgestellt, eines der ersten synthetisch hergestellten Parfüme. Heute entstammen Parfüme überwiegend chemischen Laboratorien und sind häufig „vollsynthetisch“.
Formuliere die Reaktionsgleichung zur Bildung des Ester-Moleküls aus Material 1 unter Verwendung von Strukturformeln.
Benenne die Edukte der Reaktion (M 1).
Erkläre anhand des Struktur-Eigenschaft-Konzepts die Löslichkeit von kurzkettigen Estern in Ethanol (M 1).
Erkläre anhand des Struktur-Eigenschaft-Konzepts die Eignung von kurzkettigen Estern als Duftstoffe (M 1, M 2).
Stelle die Wasserstoffbrücke zwischen einem Ester-Molekül und dem Riechrezeptor-Molekül mit Strukturformeln dar (M 1, M 2).
Plane ein experimentelles Vorgehen zur Unterscheidung der drei in Abbildung 3 dargestellten Duftkomponenten unter Angabe der zu erwartenden Beobachtungen (M 3).
Formuliere für eine der positiv verlaufenden Nachweisreaktionen eine Reaktionsgleichung (M 3).
Begründe die vier genannten Empfehlungen für den Kauf und die Verwendung eines Parfüms (M 1, M 3, M 4).
Diskutiere anhand von zwei Argumenten, ob synthetisch hergestelltes Sandal-Pentanol als Alternative zum natürlichen Sandelholzöl in einem Parfüm eingesetzt werden sollte (M 5).
Weiter lernen mit SchulLV-PLUS!
monatlich kündbarSchulLV-PLUS-Vorteile im ÜberblickDu hast bereits einen Account?Material 1: Ester als Duftstoffe
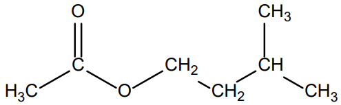
Chemisch betrachtet ist ein Parfüm eine ethanolische Lösung aus einer Reihe von Duftstoffen. Mit synthetischen Duftstoffen lassen sich unzählige Duftkompositionen kreieren. Als Duftstoffe können wohlriechende kurzkettige Ester-Verbindungen eingesetzt werden. In Abbildung 1 ist die Strukturformel eines solchen Ester-Moleküls dargestellt.

Abb. 1: Strukturformel eines Ester-Moleküls
Material 2: Grundlagen zum Riechvorgang
Für die Wahrnehmung eines Geruchs ist es erforderlich, dass Moleküle der Duftstoffe über die Gasphase in die Nase gelangen. Geeignet dafür sind leicht flüchtige Stoffe.
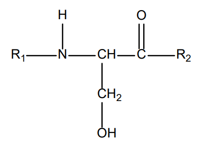
Die menschliche Nase besitzt ungefähr 350 verschiedene Arten von Riechrezeptoren, die jeweils auf bestimmte Duftstoff-Moleküle spezialisiert sind. Ein interdisziplinäres Forscherteam der Ruhr Universität Bochum klärte erstmals die dreidimensionale Struktur der Bindetasche eines Riechrezeptors auf. Die Duftstoffe werden an der Bindetasche des Riechrezeptors angelagert. Entscheidend dafür ist die Bildung von Wasserstoffbrücken zwischen Duftstoff- und Rezeptor-Molekülen.

Abb. 2: vereinfachte Strukturformel der Bindestelle eines Riechrezeptor-Moleküls
Material 3: Komposition eines Parfüms
Parfümhersteller bringen jährlich zahlreiche neue Parfümkreationen auf den Markt. Dabei folgen sie dem traditionellen dreiteiligen Aufbau eines Parfüms aus Kopf-, Herz- und Basisnote. Allein daraus ergibt sich ein gestaffeltes Dufterlebnis, da die Duftstoffe der drei „Noten“ unterschiedlich schnell verdunsten. Die Duftstoffe der Kopfnote sind bereits nach wenigen Minuten verdunstet. Die Inhaltsstoffe der Herznote entfalten sich nach Abklingen der Kopfnote. Die Duftstoffe der Basisnote verdunsten sehr langsam.
In einem Labor wurden aus einem Parfüm folgende drei Duftkomponenten (Kopf-, Herz- und Basisnote) destilliert und dadurch voneinander getrennt. Anschließend können die drei Verbindungen durch Nachweisreaktionen unterschieden werden.

Abb. 3: Strukturformeln der Moleküle von Duftkomponenten eines Parfüms
Material 4: Grundlagen zum Riechvorgang
Folgende Empfehlungen werden für den Kauf und die Verwendung eines Parfüms gegeben:
„Nicht unmittelbar nach dem ersten Geruchseindruck kaufen; Parfümflasche nach Gebrauch wieder zügig verschließen; kühl lagern und nicht in offene Flammen sprühen“
Material 5: Sandal-Pentanol oder natürliches Sandelholzöl?
Natürliches Sandelholzöl wird durch Wasserdampfdestillation aus den Holzspänen des in Indien und Australien heimischen Sandelholzbaumes gewonnen. Für 1 kg Sandelholzöl sind etwa 20 kg Holzspäne nötig, wobei die verarbeiteten Bäume dazu mindestens 30 Jahre alt sein müssen. Sandelholz ist seit jeher ein Luxusgut. Der Preis für Sandelholzöl beträgt derzeit über 1.500 € pro kg. Die unkontrollierte Abholzung infolge der rasant steigenden Nachfrage der Parfümindustrie zeigte fatale Auswirkungen. Deshalb griff die indische Regierung zu drastischen Maßnahmen, wie der Verknappung des Handels und zu strengen gesetzlichen Regelungen.
Das Duftöl Sandal-Pentanol wird durch eine mehrschrittige chemische Synthese hergestellt und ist kaum vom natürlichen Sandelholzöl zu unterscheiden. Der dafür verwendete Ausgangsstoff wird unter anderem aus Fichten gewonnen. Diese sogenannte synthetische Aroma-Chemikalie kam 1976 auf den Markt und ist zu Preisen von weniger als 100 € je kg Öl zu beziehen. Der Sandelholzduft nahm damit Einzug selbst in preisgünstige Kosmetika. In aktuellen Studien wurde die stärkere Toxizität gegenüber Wasserorganismen von Sandal-Pentanol im Vergleich zu Sandelholzöl erkannt.
Weiter lernen mit SchulLV-PLUS!
monatlich kündbarSchulLV-PLUS-Vorteile im ÜberblickDu hast bereits einen Account?Formulierung der Reaktionsgleichung

Benennung der Edukte
-
Ethansäure
-
3-Methylbutan-1-ol
Erklärung der Löslichkeit
-
Die Eignung des Ethanols als Lösungsmittel für kurzkettige Ester wird sowohl von der Hydroxy-Gruppe als auch von der Ethylgruppe bestimmt.
-
Zwischen der Ethylgruppe des Ethanol-Moleküls und dem unpolaren Teil des Ester-Moleküls können sich Wechselwirkungen zwischen temporären Dipolen ausbilden.
-
Aufgrund der Elektronenverschiebung ist die Bindung in der Hydroxy-Gruppe im Ethanol-Molekül polar. Das positiv polarisierte Wasserstoff-Atom der Hydroxy-Gruppe des Ethanol-Moleküls und die freien Elektronenpaare des negativ polarisierten Sauerstoff-Atoms der Carbonyl-Gruppe des Ester-Moleküls können Wasserstoffbrücken ausbilden.
Erklärung der Eignung von kurzkettigen Estern als Duftstoffe
-
Ester-Moleküle bilden untereinander Wechselwirkungen zwischen temporären Dipolen und zwischen permanenten Dipolen aus. Je kürzer die Alkylketten, desto schwächer die Wechselwirkungen zwischen temporären Dipolen. Ester aus kurzkettigen Alkanolen und kurzkettigen Alkansäuren sind daher leicht flüchtig (niedrige Siedetemperatur) und können somit in die Nase zum Riechrezeptor gelangen.
-
Die Ester-Gruppe bildet mit der Hydroxy-Gruppe im Rezeptor-Molekül eine Wasserstoffbrücke aus, die entscheidend für den Riechvorgang ist.
Darstellung der Wasserstoffbrücke

Planung eines experimentellen Vorgehens
-
Nachweis der C-C-Doppelbindung durch Zugabe von in Wasser gelöstem Brom:
-
eine Lösung zeigt keine Entfärbung, Menthol identifiziert
-
zwei Lösungen entfärben sich, Hex-2-enal und Sandal-Pentanol
-
Aldehyd-Nachweis durch Zugabe von Fehling I und Fehling II (oder Benedict-Reagenz) und erhitzen:
-
in einer Lösung: ziegelroter Niederschlag, Hex-2-enal identifiziert
-
verbleibende Lösung, Sandal-Pentanol
Formulierung einer Reaktionsgleichung einer Nachweisreaktion

Begründung der vier Empfehlungen für den Kauf und der Verwendung
-
nicht unmittelbar nach dem ersten Geruchseindruck kaufen, da beim Parfüm ein gestaffeltes Dufterlebnis (Kopf-, Herz- und Basisnote) entsteht, das sonst nicht wahrgenommen wird
-
Parfümflasche nach Gebrauch wieder zügig verschließen, da Duftstoffe leicht flüchtig sind und so der Dufteindruck sich verändert
-
kühl lagern, da hohe Temperaturen die Flüchtigkeit der Parfüm- Komponenten begünstigen
-
nicht in offene Flammen sprühen, da das Lösungsmittel Ethanol leicht entzündlich ist
Diskussion des Einsatz‘
-
Pro-Argumente: preisgünstig, in großer Menge herstellbar, breite Verfügbarkeit, Schonung der Sandelholz-Wälder vor Abholzung
-
Contra-Argumente: technischer Syntheseaufwand (energieintensiv, Bereitstellung von Ausgangsstoffen, Entsorgung von Nebenprodukten, ...) Ausgangstoff muss auch aus Naturprodukten (Fichte) gewonnen werden, höhere Wassertoxizität
-
Fazit