Analysis 2.2
Bremsschuh
Gegeben ist die Funktionenschar
a)
Ermittle die Koordinaten der Schnittpunkte von
mit den beiden Koordinatenachsen in Abhängigkeit von
.
Gib das Verhalten der Funktionswerte von
für
und
an.
(5P)
b)
Weise nach, dass jeder Graph
im Punkt
eine zur
-Achse parallele Tangente besitzt.
Zeig, dass
ein lokaler Extrempunkt von
ist.
Bestimme dessen Koordinaten sowie die Art des Extremums.
(8P)
c)
Genau ein Graph
hat einen Wendepunkt an der Stelle
.
Berechne den Abstand dieses Wendepunktes zum Koordinatenursprung
.
(5P)
d)
Der Graph
und die Gerade
mit der Gleichung
begrenzen gemeinsam mit der
-Achse eine Fläche, die dem Querschnitt eines Bremsschuhs entspricht, der das Wegrollen von Fahrzeugen verhindert (
).
Die „Tiefe“ des Bremsschuhs beträgt
.
Zeig, dass sich
und
auf der
-Achse schneiden.
Berechne das Volumen eines solchen Bremsschuhs.
(12P)
e)
Ermittle die Größe des Winkels, den
und
im Punkt
einschließen.
(5P)
f)
Der Produzent der Bremsschuhe möchte auf der Querschnittsfläche des Bremsschuhs sein rechteckiges Firmenlogo mit den Seitenlängen
und
so einstanzen lassen, dass die längere der beiden Seiten parallel zur
-Achse verläuft.
Untersuche, ob das möglich ist.
(5P)
Bildnachweise [nach oben]
© 2016 - SchulLV.
Aufgabe 1.2: Bremsschuh
a)
b)
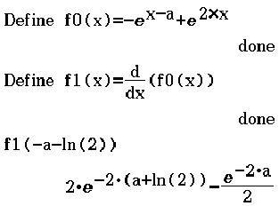
Hinreichende Bedingung:

Hinreichende Bedingung Hochstelle:
c)

d)

e)

f)
© 2016 - SchulLV.
© 2016 - SchulLV.
© 2016 - SchulLV.
© 2016 - SchulLV.
© 2016 - SchulLV.
© 2016 - SchulLV.
© 2016 - SchulLV.
© 2016 - SchulLV.
Aufgabe 1.2: Bremsschuh
a)
b)
Hinreichende Bedingung:

Hinreichende Bedingung Hochstelle:
c)

d)

e)

f)
© 2016 - SchulLV.
© 2016 - SchulLV.
© 2016 - SchulLV.
© 2016 - SchulLV.
© 2016 - SchulLV.
© 2016 - SchulLV.
© 2016 - SchulLV.
© 2016 - SchulLV.