HT 2 — Fahrradbeleuchtung
Der Kondensator ist ein Bauteil, welches in vielen elektrischen Schaltungen verwendet wird. Bei dem Standlicht einer Fahrradbeleuchtung kann ein Kondensator verwendet werden.

Abbildung 1: Rückleuchte am Fahrrad
Quelle Zugriff 22.04.2026
Teilaufgabe 1: Das elektrische Feld
In der Physik wird das Konzept des Feldes beispielsweise beim elektrischen Feld und beim Magnetfeld genutzt.
-
Gib jeweils eine Gemeinsamkeit und einen Unterschied zwischen dem elektrischen Feld und dem Magnetfeld an.
Durch verschiedene Prozesse in der Atmosphäre beträgt in der Nähe des Erdbodens die elektrische Feldstärke
-
Berechne die elektrostatische Kraft
auf ein Elektron in der Nähe des Erdbodens.
-
Vergleiche die elektrostatische Kraft
auf ein Elektron in der Nähe des Erdbodens mit der auf das Elektron wirkenden Gravitationskraft
In Abbildung 2 sind idealisierte Ausschnitte elektrischer Feldlinienbilder dargestellt.
![]()
|
![]()
|
Abbildung 2: Idealisierte Darstellung eines (a) homogenen und (b) radialsymmetrischen elektrischen Feldes
Quelle (verändert; Zugriff: 22.04.2026)
-
Ermittle in Abbildung 2a jeweils das Ladungsvorzeichen der Kondensatorplatten.
-
Gib eine Formel an, mit der der Betrag des elektrischen Feldes
in Abhängigkeit vom Plattenabstand
der Kondensatorplatten in Abbildung 2a beschrieben werden kann.
-
Ermittle in Abbildung 2b die Polung der Zentralladung
-
Gib eine Formel an, mit der der Betrag des radialsymmetrischen elektrischen Feldes
in Abhängigkeit vom Abstand
von der Zentralladung
in Abbildung 2b beschrieben werden kann.
-
Begründe, dass das radialsymmetrische elektrische Feld in Abbildung 2b ein inhomogenes elektrisches Feld ist.
Teilaufgabe 2: Der Kondensator
Bei der Fahrradbeleuchtung kann ein Kondensator verwendet werden, um elektrische Energie zu speichern. Die kennzeichnende Größe eines Kondensators ist die Kapazität Die Kapazität hängt von der Spannung
und der Ladung
wie folgt ab:
Beschreibe kurz ein Experiment, mit dem für einen Plattenkondensator gezeigt werden kann, dass die Ladung des Plattenkondensators proportional zur Ladespannung
des Plattenkondensators ist.
Ein üblicher Plattenkondensator aus dem Physikunterricht hat eine Fläche und einen Plattenabstand
-
Bestimme die Kapazität des Plattenkondensators aus dem Physikunterricht.
Für die Fahrradbeleuchtung werden Kondensatoren benötigt, die eine hohe Kapazität haben und deutlich kleiner gebaut sind als die Plattenkondensatoren aus dem Physikunterricht.
Abbildung 3 zeigt den Aufbau eines Wickelkondensators. Der Wickelkondensator ist in seinen äußeren Abmessungen kleiner als ein Plattenkondensator.
![]()
|
![]()
|
Abbildung 3: Aufbau eines Wickelkondensators a) prinzipieller Aufbau: 1 – elektrisch leitender Außenbelag, 2 – elektrisch leitender Innenbelag, 3 – nichtleitendes Material; b) Ausführungsbeispiel
Quelle (verändert; Zugriff 22.04.2026)
-
Nenne zwei Gründe, weshalb die Kapazität eines Wickelkondensators wie in Abbildung 3 einen größeren Wert als ein Plattenkondensator aus dem Physikunterricht haben kann.
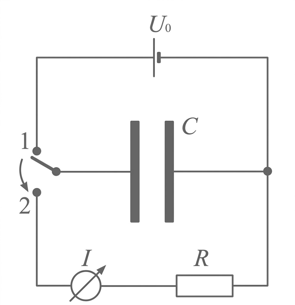
In einem Versuch wird die Entladung eines Kondensators untersucht. Dazu wird der durch die Spannung geladene Kondensator mit der Kapazität
in Schalterstellung 2 über einem Widerstand
entladen. Dabei wird die Stromstärke
in Abhängigkeit von der Zeit
gemessen. In Abbildung 4 ist die Schaltung dargestellt.

Abbildung 4: Schaltung zur Entladung eines Kondensators
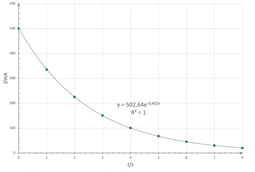
Die aufgenommenen Messwerte sind in der folgenden Tabelle notiert:
|
|
|
|
|
|
|
|
|
|
|
|
|
|
|
|
|
|
|
|
|
|
|
|
|
|
|
|
|
|
Tabelle 1: Messwerte des Versuchs zur Entladung eines Kondensators
-
Zeichne ein geeignetes
Diagramm aller Messwerte.
-
Begründe mithilfe einer grafischen Auswertung aller Messwerte, dass die Stromstärke
exponentiell mit der Zeit
abnimmt.
Für den Zusammenhang zwischen der Stromstärke und der Zeit
gilt:
-
Bestimme mithilfe aller Messwerte die Kapazität
des verwendeten Kondensators, wenn der Widerstand
groß ist.
Wird der Entladevorgang eines Kondensators theoretisch betrachtet, dann ergibt sich folgende Gleichung für die zeitliche Ableitung der Ladung des Kondensators und der Ladung
des Kondensators:
-
Leite ausgehend vom Ansatz
diesen Zusammenhang her, wenn
die Spannung am Widerstand und
die Spannung am Kondensator ist (vgl. Abbildung 4).
-
Beschreibe die physikalische Aussage dieser Gleichung beim Entladen eines Kondensators.
Eine Lösung der oben genannten Gleichung für die zeitliche Ableitung der Ladung des Kondensators und der Ladung
des Kondensators ist:
-
Begründe, dass sich mit dieser Lösung der Gleichung die oben genannte Formel für die Stromstärke
ergibt.
Teilaufgabe 3: Die Fahrradbeleuchtung
Bei der Fahrradbeleuchtung soll das Standlicht besonders lange leuchten, um eine höchstmögliche Sicherheit zu bieten. In einer Messung wurden die Entladestromstärken I von zwei verschiedenen Kondensatoren A und B aufgenommen. Die Kondensatoren haben die Kapazitäten von bzw.
Abbildung 5 zeigt die entsprechenden Diagramme:

Abbildung 5: Zeitlicher Verlauf der Entladestromstärken von zwei verschiedenen Kondensatoren A und B in willkürlichen Einheiten
-
Begründe, welche der beiden Entladekurven zum Kondensator mit der Kapazität von
bzw.
gehört.
Neben der Kapazität könnte auch der Widerstand
im Entladestromkreis verändert werden (vgl. Abbildung 4).
-
Erläutere, wie sich der Verlauf der Entladestromstärke von Kondensator A im Diagramm aus Abbildung 5 verändern würde, wenn der Widerstand
im Entladestromkreis verdoppelt würde, die Anfangsstromstärke aber gleich bliebe.
Eine übliche Fahrradbeleuchtung wird bei einer Spannung betrieben. Eine Fahrradlampe hat eine Leistung von
Die Fahrradlampe leuchtet bis zu einer Spannung von
Im Folgenden wird idealisiert davon ausgegangen, dass der elektrische Widerstand der Fahrradlampe konstant ist.
-
Zeige ausgehend von dem Zusammenhang
und der Definition der elektrischen Leistung
dass für den Widerstand
der Lampe gilt:
-
Bestimme die Kapazität
eines Kondensators, sodass die Fahrradlampe noch
Minuten im Stand weiter leuchtet.
In Abbildung 6 ist der idealisierte zeitliche Verlauf der Leistung beim Entladen des Kondensators einer Fahrradbeleuchtung dargestellt.

Abbildung 6: Idealisierter zeitlicher Verlauf der Leistung beim Entladen eines Kondensators
-
Beschreibe das Diagramm in Abbildung 6.
-
Begründe den Verlauf des Diagramms in Abbildung 6.
-
Erläutere, weshalb die Energiespeicherung mit einem Kondensator nicht für die Dauerbeleuchtung eines Fahrrades beim Stehen geeignet ist.
Für den Ladevorgang eines Kondensators gilt für die Spannung am Kondensator die folgende Gleichung:
-
Bestimme die Zeit, die benötigt wird, um den ungeladenen Kondensator der Fahrradbeleuchtung so weit zu laden, dass
beträgt, wenn der Widerstand der Lampe
und die Kapazität des Kondensators
und
sind.
-
Bestimme die Energie, die am Ende des obigen Ladeprozesses in dem Kondensator gespeichert ist.
-
Ermittle die Spannung, bei der der Kondensator doppelt so viel Energie gespeichert hat.
In Abbildung 7 ist der idealisierte zeitliche Verlauf der aufzubringenden elektrischen Leistung für das Laden des Kondensators der Fahrradbeleuchtung dargestellt.

Abbildung 7: Idealisierter zeitlicher Verlauf der aufzubringenden elektrischen Leistung zum Laden des Kondensators der Fahrradbeleuchtung
-
Beschreibe den Verlauf des Diagramms in Abbildung 7.
-
Begründe, weshalb die elektrische Leistung beim Laden des Kondensators der Fahrradbeleuchtung einen Maximalwert annimmt.
Ein normaler Mensch kann beim Fahrradfahren über eine längere Strecke eine Leistung von aufbringen.
-
Beurteile mithilfe von Abbildung 7, ob ein Radfahrer bei der Fahrt durch das Laden der Fahrradbeleuchtung spürbar beeinflusst wird.
Weiter lernen mit SchulLV-PLUS!
monatlich kündbarSchulLV-PLUS-Vorteile im ÜberblickDu hast bereits einen Account?Teilaufgabe 1: Das elektrische Feld
Angeben einer Gemeinsamkeit und eines Unterschieds
-
Gemeinsamkeiten:
-
Sowohl das elektrische als auch das magnetische Feld können durch Feldlinienbilder beschrieben werden.
-
Ebenso vermitteln beide Felder Kraftwirkungen auf geladene Objekte.
-
Die elektrische Feldstärke und die Stärke des magnetischen Feldes nehmen mit zunehmendem Abstand vom Verursacher ab.
-
-
Unterschied:
-
Elektrische Felder werden von ruhenden und bewegten Ladungsträgern erzeugt, magnetische Felder hingegen ausschließlich von bewegten Ladungsträgern.
-
Zudem sind magnetische Feldlinien immer in sich geschlossen, was bei elektrischen Feldlinien nicht der Fall ist.
-
Die Richtung der Magnetfeldlinien geht vom magnetischen Nordpol zum magnetischen Südpol, die elektrischen Feldlinien verlaufen vom positiv geladenen Körper in Richtung zum negativ geladenen Körper.
-
Die elektrische Feldstärke nimmt mit steigender Spannung zu, die Stärke des magnetischen Feldes nimmt mit zunehmender Stromstärke zu.
-
Berechnung der elektrostatischen Kraft:
Die Kraft auf ein Elektron im vorgegebenen elektrischen Feld berechnet sich wie folgt:
Vergleich mit der Gravitationskraft:
Zunächst wird die Gravitationskraft auf das Elektron über seine Masse
und den Ortsfaktor
berechnet:
Werden beide Ergebnisse verglichen, so zeigt sich, dass die elektrostatische Kraft auf das Elektron etwa um den Faktor größer ist als die einwirkende Gravitationskraft.
Polung der Kondensatorplatten und Angeben einer Formel
Da elektrische Feldlinien immer vom positiven zum negativen Pol verlaufen, ist die linke Platte positiv und die rechte Platte negativ geladen.
Die elektrische Feldstärke lässt sich in Abhängigkeit von der anliegenden Spannung
und dem Plattenabstand
durch folgende Formel beschreiben:
Ermitteln der Polung der Zentralladung und Angeben einer Formel
Die eingezeichneten Feldlinien sind von der Zentralladung weggerichtet. Folglich ist diese Ladung positiv.
Für die elektrische Feldstärke dieses radialsymmetrischen Feldes gilt:
Begründung zur Inhomogenität
Die Formel zeigt, dass die elektrische Feldstärke im radialsymmetrischen Feld vom Abstand abhängt und somit nicht in jedem Raumpunkt den gleichen, konstanten Wert aufweist. Folglich ist das radialsymmetrische Feld kein homogenes Feld.
Teilaufgabe 2: Der Kondensator
Ein Plattenkondensator wird nacheinander mit unterschiedlichen Ladespannungen aufgeladen. Nach dem jeweiligen Aufladevorgang wird die gespeicherte Ladung
des Plattenkondensators (beispielsweise über einen Messverstärker) bestimmt. Die Auswertung dieser Messwertpaare zeigt anschließend die Proportionalität zwischen der Ladung
und der Ladespannung
auf
Bestimmen der Kapazität
Für die Kapazität des beschriebenen (luftgefüllten) Plattenkondensators gilt:
Nennen zweier Gründe
Ein Wickelkondensator kann im Vergleich zum Plattenkondensator einen deutlich größeren Kapazitätswert erreichen. Das liegt an seinem Aufbau.
-
Durch die enge Wicklung des elektrisch leitenden Innenbelags und Außenbelags wird eine enorm große Fläche
in Bezug auf das Volumen des Kondensators erzielt. Das führt zu einer höheren Kapazität
-
Der Abstand
zwischen diesen beiden elektrisch leitenden Belägen ist extrem klein. Das führt ebenfalls zu einer höheren Kapazität
Zeichnen des Diagramms
Die gemessenen Wertepaare können in ein -
-Diagramm eingetragen werden:

Begründen der exponentiellen Abnahme
In dem -
-Diagramm lässt sich eine exponentielle Ausgleichskurve durch die Datenpunkte legen. Die Passgenauigkeit dieser Ausgleichskurve ist hervorragend (das Bestimmtheitsmaß liegt hier bei
), was bestätigt, dass die Stromstärke tatsächlich exponentiell mit der Zeit abnimmt.
Die ermittelte Stromstärkefunktion lautet:
Ein Vergleich der Exponenten liefert:
Herleitung der Differentialgleichung
Als Ausgangspunkt für den Entladestromkreis dient die Maschenregel:
Da die gesuchte Differenzialgleichung am Ende aber nur von und
abhängen soll, müssen die Spannungen umgeformt werden:
Einsetzen in die Maschenregel ergibt:
Das entspricht der gesuchten Differenzialgleichung.
Beschreiben der physikalischen Aussage
Physikalisch besagt diese Gleichung, dass die Änderungsrate der Ladung beim Entladevorgang stets proportional zur noch auf dem Kondensator vorhandenen Ladung
ist.
Nachweis des angegebenen Lösungsansatzes
Die Stromstärke ist die erste Ableitung der Ladung:
Hier kann die gegebene Lösung für die Ladung eingesetzt werden:
Teilaufgabe 3: Die Fahrradbeleuchtung
Zuordnen der Entladekurven
Die Entladekurven folgen folgender Gleichung:
Ein kleinerer Wert der Kapazität führt zu einem größeren Bruch
im Exponenten und bewirkt dadurch einen steileren Abfall der Stromstärke. Folglich gehört die tiefer liegende Kurve von Kondensator A zur kleineren Kapazität
und die flachere Kurve von Kondensator B zur größeren Kapazität
Erläutern des Verlaufs der Entladestromstärke
Wird der Widerstand im Entladestromkreis von Kondensator A verdoppelt, halbiert sich der Bruch im Exponenten. Der Ausdruck
nimmt dann exakt den gleichen Wert an wie der Ausdruck
für den Kondensator B. Somit ergäbe sich für Kondensator A exakt derselbe Kurvenverlauf wie für Kondensator B.
Zeigen des Zusammenhangs
Aus dem ohmschen Gesetz und der Formel für die elektrische Leistung
folgt durch Einsetzen:
Für die Fahrradlampe gilt entsprechend:
Bestimmen der Kapazität
Mit der gerade hergeleiteten Beziehung kann zunächst der Widerstand berechnet werden:
Für die am Kondensator abfallende Spannung gilt der exponentielle Zusammenhang Nach Ablauf von
soll noch eine Restspannung von
anliegen:
Beschreiben des Diagramms
Das Diagramm zeigt, dass die Leistung zum Startzeitpunkt einen Anfangswert von
besitzt. Anschließend nimmt sie stetig exponentiell ab und nähert sich ab etwa
der Zeitachse (dem Wert null) an.
Begründen des Verlaufs
Dieser Verlauf begründet sich dadurch, dass während der Entladung sowohl die Spannung als auch die Stromstärke exponentiell abfallen. Für die elektrische Leistung gilt das Produkt dieser beiden exponentiell abnehmenden Funktionen:
Folglich nimmt die Leistung
Erläutern der Energiespeicherung mit einem Kondensator
Für eine Dauerbeleuchtung des Fahrrades beim Stehen ist diese Art der Energiespeicherung absolut ungeeignet, da die verfügbare Leistung extrem schnell absinkt. Die Fahrradlampe würde rapide an Helligkeit verlieren und nach relativ kurzer Zeit komplett erlöschen, sobald die erforderliche Schwellenspannung unterschritten ist.
Bestimmen der benötigten Zeit
Mit der Formel für die Spannung während des Ladevorgangs und den geforderten Werten
sowie der Ladespannung
ergibt sich:
Bestimmen der Energie
Die am Ende des Ladezeitraums gespeicherte elektrische Energie beträgt:
Ermitteln der Spannung
Da die im Kondensator gespeicherte Energie proportional zum Quadrat der anliegenden Spannung ist (), berechnet sich die benötigte Spannung für die doppelte Energiemenge über den Faktor
Beschreiben des Verlaufs des Diagramms
Beim Ladevorgang beginnt die aufzubringende Leistung zum Zeitpunkt exakt bei dem Wert
Anschließend steigt sie stark an, erreicht bei etwa
ihr Maximum und fällt danach wieder ab und nähert sich asymptotisch der Zeitachse.
Begründung des Maximalwerts der elektrischen Leistung
Das Leistungsmaximum resultiert aus dem gegenläufigen Verhalten von Spannung und Stromstärke. Ganz zu Beginn ist der Kondensator vollständig ungeladen, weshalb die anliegende Spannung und somit auch die Ladeleistung null ist. Am Ende des Ladeprozesses ist der Kondensator hingegen voll aufgeladen, wodurch kein Strom mehr fließt (
) und die Leistung ebenfalls wieder auf null zurückgeht. Im dazwischenliegenden Zeitraum nehmen beide physikalischen Größen Werte deutlich größer als null an, sodass ihr Produkt
zwingend einen Maximalwert durchlaufen muss.
Beurteilen der Auswirkungen auf den Radfahrer
Das gegebene Diagramm zeigt sehr deutlich, dass diese maximale Ladeleistung bei etwa liegt. Verglichen mit den durchschnittlich
die beim Fahrradfahren auf längere Strecken durch Muskelkraft erbracht werden, ist dieser kleine Ladebedarf verschwindend gering. Der zusätzliche Kraftaufwand durch das Laden der Kondensatorbeleuchtung wird bei der Fahrt somit nicht spürbar behindern.



