Teil A
Die Skizze zeigt das gleichschenklige Trapez ABCD mit der Höhe
Es gilt:
Berechne die Längen der Strecken und
Zeige sodann rechnerisch, dass für den Flächeninhalt des Trapezes
gilt:
Teilergebnis:

Die Funktion hat eine Gleichung der Form
Ihr Graph ist eine Parabel mit dem Scheitelpunkt
Gib die Gleichung der Parabel in der Scheitelpunktsform an.
Kreuze die Wertemenge der Funktion an.
Die Tasten und
eines Klaviers können mithilfe einer Software angeschlagen werden. Dabei werden Melodien erzeugt, indem vier Tasten zufällig nacheinander angeschlagen werden.
Beispiel für eine solche Melodie:

Zeige rechnerisch, dass verschiedene Melodien erzeugt werden können.
Gib die Wahrscheinlichkeit dafür an, dass die Melodie entsteht.
Gib die Wahrscheinlichkeit dafür an, dass eine Melodie entsteht, bei der viermal dieselbe Taste angeschlagen wird.
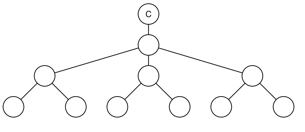
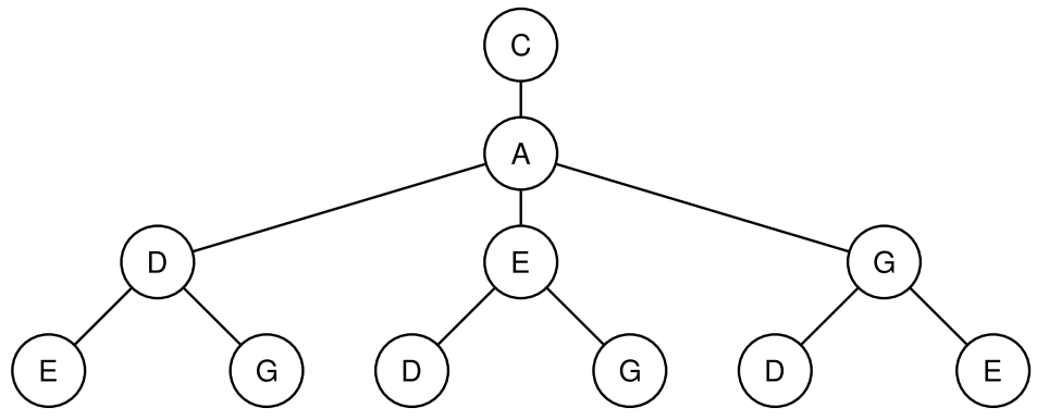
Für eine bestimmte Melodie werden folgende Vorgaben in der Software eingestellt:
Als erstes wird die Taste und als zweites die Taste
angeschlagen. Zudem soll jede Taste höchstens einmal angeschlagen werden.
Ergänze im Baumdiagramm die zugehörigen Tasten.

Weiter lernen mit SchulLV-PLUS!
monatlich kündbarSchulLV-PLUS-Vorteile im ÜberblickDu hast bereits einen Account?Berechnung der Höhe
Mit gilt in dem rechtwinkligen Dreieck
Berechnung der Länge der Strecke
Da das Trapez gleichschenklig ist, gilt:
Berechnung des Flächeninhaltes des gleichschenkligen Trapezes:
-
: Öffnungsfaktor
-
:
Koordinate des Scheitelpunkts
-
:
Koordinate des Scheitelpunkts
einsetzen:
Die Parabel ist nach unten geöffnet ( ), daher sind alle
Werte kleiner oder gleich dem Funktionswert des Scheitelpunkts.
Es gibt Tasten
von denen
Tasten gedrückt werden. Daher:
Es können verschiedene Melodien erzeugt werden.
ist eine davon.
Deshalb beträgt die Wahrscheinlichkeit
Es gibt Fälle:
Die Wahrscheinlichkeit für jeden dieser Fälle beträgt
Folglich:
Die Wahrscheinlichkeit, dass vier mal dieselbe Taste gedrückt wird, beträgt
