Aufgabe B1
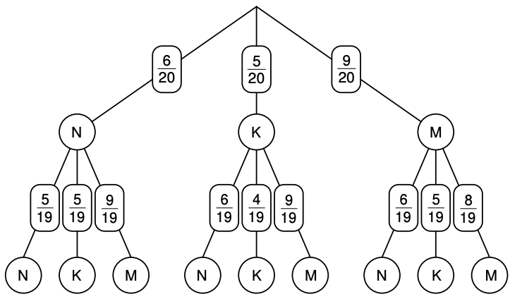
In einer Schale liegen Schokoladenkugeln, die sich nur durch die Füllungen unterscheiden. Sechs Kugeln sind mit Nougat („
“), fünf mit Krokant („
“) und die anderen mit Marzipan („
“) gefüllt.
Wilma hat sich zwei zufällig ausgewählte Kugeln genommen und isst sie.
Vervollständige das dazugehörige Baumdiagramm.

Wilma mag kein Marzipan.
Berechne die Wahrscheinlichkeit dafür, dass Wilma keine Kugel mit Marzipanfüllung gegessen hat.
Wilma hatte Glück, weil in ihren beiden Kugeln kein Marzipan war.
Jetzt nimmt ihr Bruder Fred eine ebenfalls zufällig ausgewählte Kugel aus der Schale.
Gib die Wahrscheinlichkeit dafür an, dass diese Kugel mit Marzipan gefüllt ist.
Weiter lernen mit SchulLV-PLUS!
monatlich kündbarSchulLV-PLUS-Vorteile im ÜberblickDu hast bereits einen Account?
Aus der 1. und 2. Pfadregel folgt:
Es sind noch insgesamt Kugeln übrig, von denen
Kugeln mit Marzipan gefüllt sind. Freds Kugel ist daher mit einer Wahrscheinlichkeit von
mit Marzipan gefüllt.