B2 – Analysis
Gegeben sind die in definierten Funktionen
mit
sowie
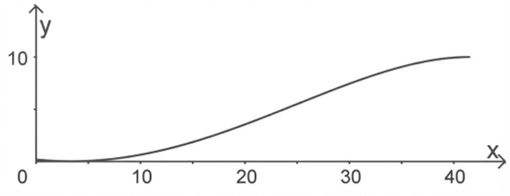
Die Abbildung 1 zeigt den Graphen von

Abb. 1
Berechne für den Graphen von die Koordinaten der Schnittpunkte mit der
-Achse sowie die Koordinaten des Extrempunkts. Zeichne den Graphen von
in die Abbildung 1 ein.
Gib an, für welche Werte von der Graph von
oberhalb des Graphen von
verläuft und für welche unterhalb. Begründe deine Angabe.
Die Tangente an den Graphen von im Punkt
wird mit
bezeichnet, die Tangente an den Graphen von
im Punkt
mit
und der Schnittpunkt dieser beiden Tangenten mit
Die Tangente
wird durch die Gleichung
beschrieben, die Tangente
durch die Gleichung
Begründe, dass für jeden Wert von
auf der
-Achse liegt. Zeige, dass es keinen Wert von
gibt, für den die beiden Tangenten
und
senkrecht zueinander sind.
Die Gerade mit der Gleichung schneidet
im Punkt
und
im Punkt
Untersuche, für welche Werte von das Dreieck
rechtwinklig ist.
Die Abbildung 2 zeigt schematisch die Profillinie einer Skipiste in einer Skihalle. Die Piste ist nur in der abgebildeten Längsrichtung geneigt und durchgehend breit.

Abb. 2
Die Profillinie wird für durch den Graphen der in
definierten Funktion
dargestellt. Im verwendeten Koordinatensystem beschreibt die
-Achse die Horizontale; eine Längeneinheit entspricht
in der Realität.
Berechne die Größe des größten Neigungswinkels der Piste gegenüber der Horizontalen.
Ein Seil ist an zwei Punkten befestigt, die im Modell durch und
dargestellt werden. Der Verlauf des Seils kann modellhaft mithilfe einer in
definierten Funktion
mit
beschrieben werden.
Bestimme die Werte von und
(zur Kontrolle: )
Ermittle die Höhendifferenz, um die die beiden Befestigungspunkte gemeinsam mindestens angehoben werden müssten, damit das Seil an jeder Stelle von der Piste einen vertikalen Abstand von mindestens hat.
Die Abbildung 3 zeigt grau markiert die Schneeauflage im unteren Bereich der Piste; dazu wurde die Abbildung 2 in Richtung der -Achse stärker vergrößert als in Richtung der
-Achse. Der Untergrund, auf dem der Schnee aufgebracht ist, wird für
durch die
-Achse dargestellt. Für den übrigen Teil der Piste soll davon ausgegangen werden, dass die in vertikaler Richtung gemessene Schneehöhe
beträgt.

Abb. 3
Bestimme das Volumen der Schneeauflage der gesamten Piste.
Weiter lernen mit SchulLV-PLUS!
monatlich kündbarSchulLV-PLUS-Vorteile im ÜberblickDu hast bereits einen Account?Auflösen von nach
mit dem MMS liefert:
Die Schnittpunkte mit der -Achse haben somit die Koordinaten
und
Bestimmung der ersten Ableitung von
im MMS und Nullsetzen liefert für
Einsetzen von in die zweite Ableitung mit Hilfe des MMS liefert:
Einsetzen in ergibt anschließend mit dem MMS:
Der Extrempunkt hat somit die Koordinaten

Für gilt
der Graph von
verläuft also unterhalb des Graphen von
für
gilt
der Graph von
verläuft also oberhalb des Graphen von
Beide Tangenten schneiden die -Achse im Punkt
Da für alle
gilt, sind
und
zudem für keinen Wert von
senkrecht zueinander.
Für die Steigung von gilt
für alle
d. h. im Eckpunkt
kann kein rechter Winkel auftreten. Da
und
für keinen Wert von
senkrecht zueinander stehen, kann auch im Eckpunkt
kein rechter Winkel vorliegen. Im Eckpunkt
liegt für
genau dann ein rechter Winkel vor, wenn
gilt. Auflösen nach
mit dem MMS liefert:
Der Abbildung 2 ist zu entnehmen, dass der Punkt der Profillinie, in dem deren Steigung am größten ist, zwischen den beiden Endpunkten liegt.
Für liefert Nullsetzen der zweiten Ableitung von
mit dem MMS und anschließend nach
auflösen:
Der Neigungswinkel ergibt sich damit durch die Gleichung Auflösen nach
mit dem MMS liefert:
Einsetzen der Koordinaten der beiden Punkte liefert folgendes Gleichungssystem:
Lösen des Gleichungssystem mit dem MMS liefert und
Der vertikale Abstand des Seils zur Piste kann für jeden Punkt der Profillinie mithilfe der Funktion mit
angegeben werden.
Für ergibt auflösen von
nach
mit dem MMS:
Da Einsetzen von in die zweite Ableitung von
mit Hilfe des MMS
ergibt, wird
für
minimal.
Da das Seil an jeder Stelle einen vertikalen Abstand von mindestens haben soll, liefert das Ergebnis von
den gesuchten Wert. Mit dem MMS folgt:
Die Befestigungspunkte müssen somit um etwa angehoben werden.
Mit dem MMS folgt für das gesuchte Volumen
Das Volumen der Schneeauflage beträgt somit